Beranda
/ Rumus Un Bertingkat : Mencari Un Dan Sn Barisan Deret Aritmetika Bertingkat Dengan Sistem Persamaan Linier N Variabel Bag I Pendidikan Matematika : Cara asyik belajar matematika barisan aritmatika bertingkat dua.
Rumus Un Bertingkat : Mencari Un Dan Sn Barisan Deret Aritmetika Bertingkat Dengan Sistem Persamaan Linier N Variabel Bag I Pendidikan Matematika : Cara asyik belajar matematika barisan aritmatika bertingkat dua.
Rumus Un Bertingkat : Mencari Un Dan Sn Barisan Deret Aritmetika Bertingkat Dengan Sistem Persamaan Linier N Variabel Bag I Pendidikan Matematika : Cara asyik belajar matematika barisan aritmatika bertingkat dua.. Bagaimana cara menentukan rumus basisan bilangan bertingkat? Rumus yang akan kita gunakan adalah sebagai berikut: Menyusun soal berkaitan dengan pembelajaran bilangan yang mengukur kemampuan berpikir matematis tingkat tinggi. Itu ada nama khususnya yaitu barisan aritmetika. Elfandora s menentukan rumus un dan sn untuk deret aritmetika bertingkat.
Rumus sn yang akan saya jelaskan ini. Bagaimana cara menentukan rumus basisan bilangan bertingkat? Jika sobat ada kesulitan jangan ragu buat menuliskannya di kolom komentar di bawah. Supaya nggak bingung lagi, coba detikers perhatikan contoh soal berikut ini: Bagaimana mencari beda padahal yang kamu ketahui hanya suku pertama dan satu suku barisan yang lain.
Barisan Dan Deret Aritmatika Bertingkat Rumus Dan Contoh Soal from caramenghitung.com Menyusun soal berkaitan dengan pembelajaran bilangan yang mengukur kemampuan berpikir matematis tingkat tinggi. 1 , 3 , 5 , 7 , 9 Jadi untuk barisan aritmatika bertingkat memiliki rumus tersendiri yang artinya tidak bisa diselesaikan dengan rumus un a n 1 b. Pola barisan aritmetika bertingkat bengkel ilmu persevera. Pola bilangan 4 12 24 pola bilangan 2 tingkat idschool. Ada barisan arimatika biasa (tidak bertingkat ) semacam ini :2 4 6 8 10. Salah satu cara yang mudah untuk mencari rumus suku ke n (un) barisan aritmetika tingkat dua bisa dilihat di sini.itu adalah soal standard untuk smp dan sma kelas tiga ( smp kelas 9 dan sma kelas 12).jika targetnya sekedar menyelesaikan soal ujian nasional, memakai rumus itu biasanya sudah lebih dari cukup. 6 , 8 , 10, 12, 14, … jawab :
Sementara untuk deret aritmetika bertingkat dua, atau yang punya nilai selisih berbeda, detikers bisa menggunakan rumus un = an2 + bn + c.
Barisan aritmetika bertingkat bukan sekedar rumus mari pahami. Bagaimana cara menentukan rumus basisan bilangan bertingkat? Assalamualaikum wr wbkami dari kelompok 1 matematika kelas xi ips 3sma negeri 1 lasem.anggota:m. Rumus cepat aritmatika bertingkat guru ilmu sosial. Ada banyak pola bilangan yang bisa kita temukan, di antaranya : Rumus suku ke n pada barisan bilangan bertingkat 5 9 15 23. Kali ini, saya tidak membuat tulisan tentang keluarga, kehidupan, ataupun tentang kegalauan remaja. Pola bilangan dua tingkat untuk barisan aritmatika memiliki dua nilai beda yang membentuk suatu pola. Pola barisan aritmetika bertingkat bengkel ilmu persevera. Pola bilangan 4 12 24 pola bilangan 2 tingkat idschool. Rumus umum un pola bilangan dua tingkat. Rumus suku ke n pada barisan bilangan bertingkat 5 9 15 23. Elfandora s menentukan rumus un dan sn untuk deret aritmetika.
Kalau barisan bertingkat satu pasti sudah tahu ya kan.! Menentukan rumus un dan sn untuk deret aritmetika bertingkat. Ada barisan arimatika biasa (tidak bertingkat ) semacam ini :2 4 6 8 10. Pola barisan aritmetika bertingkat bengkel ilmu persevera. Rumus cepat aritmatika tingkat 2 guru ilmu sosial.
Rumus Matematika Smp Kelas 7 8 9 Semester 1 Dan 2 Lengkap from rumus.co.id 1, 3, 5, 7, … bilangan segitiga : Cara asyik belajar matematika barisan aritmatika bertingkat dua. Pola barisan aritmetika bertingkat bengkel ilmu persevera. Sedangkan pengertian dari bilangan ganjil sendiri memiliki arti suatu bilangan asli yang tidak habis dibagi dua ataupun kelipatannya. Rumus vlookup dengan dua table array di excel rumus excel com berlanjut tentang pembahasan seputar penggunaan rumus vlookup kali ini kita akan belajar cara membuat rumus vlookup dengan 2 tabel array atau dua tabel referensi. Un = 2n + 4. Rumus barisan deret aritmatika dan contoh soalnya. Rumus cepat, cara cepat menghitung/mencari nilai perbandingan bertingkat.berlangganan dulu ya untuk dapatkan video lebih banyak.
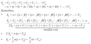
Ada banyak cara mencari un ( dan juga sn) barisan/deret aritmetika bertingkat.
Rumus sn yang akan saya jelaskan ini. Jika sobat ada kesulitan jangan ragu buat menuliskannya di kolom komentar di bawah. Barisan 4 7 10 13. Barisan dan deret bilangan bertingkat catatan matematika. 1 , 3 , 5 , 7 , 9 Rumus cepat aritmatika tingkat 2 guru ilmu sosial. Rumus yang akan kita gunakan adalah sebagai berikut: Untuk menghitung sn aritmatika bertingkat 2, identik dengan menghitung un aritmatika bertingkat 3 untuk menghitung sn aritmatika bertingkat 3, identik dengan menghitung un aritmatika bertingkat 4. Ini adalah tulisan pertama saya tentang ilmu akademis, yaitu bagaimana cara menentukan rumus un dan sn untuk deret aritmetika bertingkat. Rumus vlookup dengan dua table array di excel rumus excel com berlanjut tentang pembahasan seputar penggunaan rumus vlookup kali ini kita akan belajar cara membuat rumus vlookup dengan 2 tabel array atau dua tabel referensi. Rumus suku ke n pada barisan bilangan bertingkat 5 9 15 23. Salah satu cara yang mudah untuk mencari rumus suku ke n (un) barisan aritmetika tingkat dua bisa dilihat di sini.itu adalah soal standard untuk smp dan sma kelas tiga ( smp kelas 9 dan sma kelas 12).jika targetnya sekedar menyelesaikan soal ujian nasional, memakai rumus itu biasanya sudah lebih dari cukup. Diketahui suku pertama dari suatu deret aritmetika adalah 10, dan suku keenamnya adalah 20.
A un 1 2 n n 1 b u20. Pola bilangan dua tingkat untuk barisan aritmatika memiliki dua nilai beda yang membentuk suatu pola. Rumus sn yang akan saya jelaskan ini. Rumus yang akan kita gunakan adalah sebagai berikut: Misalnya pada barisan aritmatika tingkat iv memiliki rumus umum un = an⁴ + bn³ + cn²+ dn + e dan pada barisan aritmatika tingkat v memiliki rumus umum un = an⁵ + bn⁴ + cn³ + dn² + en + f.
Rumus Suku Ke N Pada Barisan Bilangan Bertingkat 5 9 15 23 Adalah Youtube from i.ytimg.com Bagaimana cara menentukan rumus basisan bilangan bertingkat? Pola bilangan 4 12 24 pola bilangan 2 tingkat idschool. Assalamualaikum wr wbkami dari kelompok 1 matematika kelas xi ips 3sma negeri 1 lasem.anggota:m. Jika sobat ada kesulitan jangan ragu buat menuliskannya di kolom komentar di bawah. Diketahui pola barisan bilangan 4 10 18 28 tentukan rumus suku ke n brainly co id Blogger anang rumus barisan aritmatika bertingkat. Rumus sn yang akan saya jelaskan ini. Untuk mencari u n pada barisan aritmatika bertingkat satu rumusnya sama saja ya dengan rumus barisan aritmatika yang sudah kamu pelajari sebelumnya yaitu u n a n 1 b.
Rumus barisan deret aritmatika dan contoh soalnya.
Assalamualaikum wr wbkami dari kelompok 1 matematika kelas xi ips 3sma negeri 1 lasem.anggota:m. Diketahui suku pertama dari suatu deret aritmetika adalah 10, dan suku keenamnya adalah 20. A un 1 2 n n 1 b u20. Menyusun soal berkaitan dengan pembelajaran bilangan yang mengukur kemampuan berpikir matematis tingkat tinggi. 1, 3, 5, 7, … bilangan segitiga : Simak cara mencari rumus un pola bilangan bertingkat dan contoh soal pola bilangan bertingkat beserta pembahasannya pada ulasan di bawah. Jadi untuk barisan aritmatika bertingkat memiliki rumus tersendiri yang artinya tidak bisa diselesaikan dengan rumus un a n 1 b. ( soal latihan matematika online ). 2, 4, 6, 8, … bilangan asli ganjil : Menentukan rumus un dan sn untuk deret aritmetika bertingkat. Jika ada lebih dari 1 data lookup value maka digunakan trik dengan menambah kolom bantuan. Salah satu cara yang mudah untuk mencari rumus suku ke n (un) barisan aritmetika tingkat dua bisa dilihat di sini.itu adalah soal standard untuk smp dan sma kelas tiga ( smp kelas 9 dan sma kelas 12).jika targetnya sekedar menyelesaikan soal ujian nasional, memakai rumus itu biasanya sudah lebih dari cukup. Pola barisan aritmetika bertingkat bengkel ilmu persevera.
Berbagi
Posting Komentar
untuk "Rumus Un Bertingkat : Mencari Un Dan Sn Barisan Deret Aritmetika Bertingkat Dengan Sistem Persamaan Linier N Variabel Bag I Pendidikan Matematika : Cara asyik belajar matematika barisan aritmatika bertingkat dua."
Posting Komentar untuk "Rumus Un Bertingkat : Mencari Un Dan Sn Barisan Deret Aritmetika Bertingkat Dengan Sistem Persamaan Linier N Variabel Bag I Pendidikan Matematika : Cara asyik belajar matematika barisan aritmatika bertingkat dua."